- 20 м
- 1 м








 
                                                                                                                                |   | Электронный блок COELBO SWITCHMATIC 2 | 321.50 руб. * 1 шт | 
| Стоимость набора | 1 370.61 руб. | 
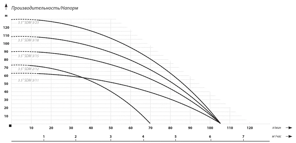
IBO 3,5 SDM 3/23 кабель 20 метров многоступенчатые погружной скважинный насос диаметром 90 мм, с повышенной устойчивостью к песку, рассчитаны на установку в скважину 90-125 мм. Эффект повышенной устойчивости к песку был достигнут благодаря использованию «плавающих лопастных колес» и применению износостойких рабочих элементов. Конденсатор насоса IBO 3,5 SDM 3/23 кабель 20 метров встроен в двигатель, благодаря чему электрическая установка намного проще, чем в случае насосов со стартовой коробкой. Насос комплектуется кабелем 20 м. Скважинный насос IBO 3,5 SDM 3/23 кабель 20 метров оснащены тепловой защитой, установленной в обмотке двигателя. Из-за частых перегревов насос может выйти из строя. Насосы имеют такую же конструкцию как и серия 3ti, однако они характеризуются более высокой производительностью до 70 л/мин. Максимальная напорная характеристика насоса составляет 130 м при мощности электродвигателя 1800 Вт. Гарантия на скважинный насос IBO 3,5 SDM 3/23 кабель 20 метров составляет 2 года.
Графические характеристики
 
  Условия работы насоса ИБО:
- Максимальная температура жидкости 35°С
- Максимальная температура окружающей среды 35°С
- Класс изоляции B
- Режим работы – непрерывный
- Безопасность – IP68
Материалы насоса ИБО:
- Корпус всасывания / нагнетания: латунь
- Корпус: нержавеющая сталь AISI 304
- Вал и ротор: нержавеющая сталь AISI 304
- Лопастное колесо: норил
- Диффузор: норил
- Механический сальник: Керамика/Sic/NBR
- Двигатель: с масляным охлаждением
- Частота вращения двигателя: 2850 об/мин
 
 
Установка скважинного насоса IBO 3,5 SDM 3/23 кабель 20 метров
Купить скважинный насос IBO 3,5 SDM 3/23 кабель 20 метров в Мозыре
Купить высокопроизводительный скважинный насос IBO 3,5 SDM 3/23 кабель 20 метров вы можете в нашем магазине. В нашем магазине вы также сможете укомплектовать вашу скважину под ключ. Если у вас возникнут вопросы касательно оборудования вы всегда можете связаться с нашими специалистами и получить профессиональную консультацию. После оформления заказы мы в кратчайшие сроки доставим заказанный вами товар на указанный адрес, также вы можете посетить наш магазин или забрать заказанный насос с пункта самовывоза.
Доставка курьером в город Мозырь
Доставка осуществляется на следующий день после оформления заказа.В день доставки до 13:00 с Вами связывается оператор компании перевозчика и уточняет время доставки.
- Время работы с 10:30 до 23:00
Стоимость
Цена доставки товара зависит от его веса и габаритов. Доставки в город Мозырь осуществляться согласно графика. Стоимость и график поставки вы можете уточнить у оператора call-центра. Также стоимость доставки вы можете самостоятельно рассчитать в карточке товара. Мозырь
 
																									 
																																	 
																																	 
																																	 
																																	 
																																	 
																																	 
																																	 
																																	 
																																	 
																																	 
																																	 
																																	 
																																	 
																																	 
																									 
																																	 
																																	 
																																	 
																																	 
																																	 
																																	 
																									 
																																	 
																																	 
																																	 
																																	 
																																	 
																									 
																																	 
																																	 
																																	 
																																	 
																																	 
																																	 
																																	 
																																	 
																																	 
																																	 
																																	 
																																	 
																																	 
																																	 
																																	 
																																	 
																																	 
																																	 
																																	 
																																	 
																																	 
																																	 
																									 
																																	 
																																	 
																																	 
																																	 
																																	 
																																	 
																									 
																																	 
																																	 
																																	 
																																	 
																																	 
																																	 
																																	 
																																	 
																									 
																																	 
																																	 
																																	 
																																	 
																																	 
																																	 
																									 
																																	 
																																	 
																																	 
																																	 
																									 
																																	 
																																	 
																																	 
																																	 
																																	 
																																	 
																																	 
																																	 
																																	 
																																	 
																																	 
																																	 
																																	 
																																	 
																																	 
																									 
																																	 
																																	 
																																	 
                                                                     
                                                                     
                         
                         
                                                 
 