
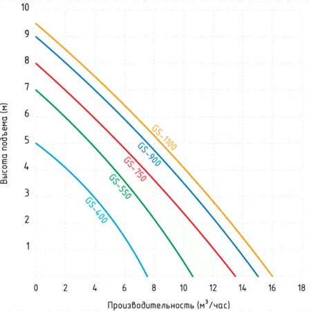
Дренажный насос для грязной воды Jemix GS 400 - это насос для водоотведения, который позволяет поднимать воду на высоту до 5 метров и имеет максимальную производительность в 7.5 м³/час. Его мощность электродвигателя составляет 400 Вт, а диаметр разъема соединения равен 1" x 1¼" x 1½".
Насос имеет погружной тип установки и является дренажным насосом с номинальной производительностью в 1.87 м³/час и номинальным напором в 1.25 метра. Корпус насоса изготовлен из пластика, а материал крыльчатки - технополимер.
Верхняя часть корпуса насоса содержит асинхронный однофазный электродвигатель мощностью 400 Вт, пусковой конденсатор и тепловое реле. Пусковой конденсатор необходим для запуска ротора электродвигателя, а тепловое реле отключает электродвигатель в случае перегрева и автоматически включает его после охлаждения.
После включения насоса вода и примеси поступают в нижнюю часть насоса и за счет движения крыльчатки поднимаются на высоту до 5 метров с производительностью 7.5 м³/час. Поплавковый выключатель включает и отключает насос в автоматическом режиме при изменении уровня воды.
Насос Jemix GS 400 имеет защиту от сухого хода поплавковым выключателем, пропуск частиц до 35 мм и работает от сети 220 В с частотой тока 50 Гц. Его класс защиты IP68 / B, а температура перекачиваемой жидкости может находиться в диапазоне от 1 до 35 градусов Цельсия. Насос имеет вес 4.1 кг, режим работы S1, срок службы 5 лет и гарантийный срок 1 год.
Графические характеристики Jemix GS 400
 
 Jemix GS 400 является отличным выбором для откачки загрязненной воды, и вот почему:
- 
	Высокая производительность: Насос способен обеспечивать максимальную производительность в 7.5 м³/час, что означает быструю откачку воды и экономию времени. 
- 
	Максимальный напор: Насос имеет максимальный напор в 5 м, что позволяет перемещать воду на значительные расстояния и высоты. 
- 
	Надежность: Насос Jemix GS 400 имеет защиту от сухого хода поплавковым выключателем, что предотвращает повреждение насоса в случае, если вода не поступает в насос. 
- 
	Простота использования: Насос легкий и компактный, что облегчает его перемещение и установку. Кроме того, поплавковый выключатель автоматически включает и выключает насос, что упрощает его использование. 
- 
	Долговечность: Насос Jemix GS 400 имеет класс защиты IP68 / B, что означает, что он защищен от пыли и воды и может работать в течение длительного времени. 
- 
	Экономия энергии: Электродвигатель насоса имеет мощность всего 400 Вт, что позволяет сэкономить энергию и снизить затраты на электричество. 
- 
	Подходит для различных условий: Насос может работать в широком диапазоне температур от 1 до 35 градусов Цельсия и способен перекачивать жидкости с частицами размером до 35 мм, что делает его универсальным решением для различных задач по откачке воды. 
 
Применение фекального насоса Jemix GS 400:
- откачка воды с содержанием фракций ила, фекалий и т.п.;
- откачка грунтовых вод из подвальных помещений;
- осушение небольших прудов и бассейнов;
- забор воды для полива, из разных водоемов;
- перекачивание пресной воды из колодцев.
Купить фекально-дренажный насос для грязной воды Jemix GS 400 в Мозыре
	 Купить фекальный насос Jemix GS 400 в Мозыре можно в компании АкваБрег. Эта компания является официальным дистрибьютором Jemix в Беларуси и предлагает широкий ассортимент оборудования для водоснабжения и водоотведения. Покупка у официального дистрибьютора гарантирует подлинность товара и профессиональную поддержку со стороны продавца. Кроме того, в компании АкваБрег можно получить консультацию от квалифицированных специалистов и выбрать насос, который лучше всего подходит для конкретных нужд.
Доставка курьером в город Мозырь
Доставка осуществляется на следующий день после оформления заказа.В день доставки до 13:00 с Вами связывается оператор компании перевозчика и уточняет время доставки.
- Время работы с 10:30 до 23:00
Стоимость
Цена доставки товара зависит от его веса и габаритов. Доставки в город Мозырь осуществляться согласно графика. Стоимость и график поставки вы можете уточнить у оператора call-центра. Также стоимость доставки вы можете самостоятельно рассчитать в карточке товара. Мозырь
 
																									 
																																	 
																																	 
																																	 
																																	 
																																	 
																																	 
																																	 
																																	 
																																	 
																																	 
																																	 
																																	 
																																	 
																																	 
																									 
																																	 
																																	 
																																	 
																																	 
																																	 
																																	 
																									 
																																	 
																																	 
																																	 
																																	 
																																	 
																									 
																																	 
																																	 
																																	 
																																	 
																																	 
																																	 
																																	 
																																	 
																																	 
																																	 
																																	 
																																	 
																																	 
																																	 
																																	 
																																	 
																																	 
																																	 
																																	 
																																	 
																																	 
																																	 
																									 
																																	 
																																	 
																																	 
																																	 
																																	 
																																	 
																									 
																																	 
																																	 
																																	 
																																	 
																																	 
																																	 
																																	 
																																	 
																									 
																																	 
																																	 
																																	 
																																	 
																																	 
																																	 
																									 
																																	 
																																	 
																																	 
																																	 
																									 
																																	 
																																	 
																																	 
																																	 
																																	 
																																	 
																																	 
																																	 
																																	 
																																	 
																																	 
																																	 
																																	 
																																	 
																																	 
																									 
																																	 
																																	 
																																	 
                                                                     
                                                                     
                                                                     
                                                                     
                                                                     
                                                                     
                         
                         
                         
                         
                         
                         
                                                





