- 1.5 м























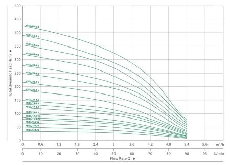
Набор MAXPUMP 4SDM 3/14 380В - надежное и эффективное решение для водоснабжения, представленное в компактном и прочном исполнении. Этот скважинный центробежный насос обладает мощностью 1100 Вт, что обеспечивает надежный и стабильный поток воды для вашего дома или предприятия. Максимальный напор насоса достигает 95 метров, а максимальный расход составляет 5.3 м³/час, что делает его идеальным выбором для обеспечения водой даже в условиях высокого спроса.
Изготовленный из нержавеющей стали корпус насоса обеспечивает надежность и долгий срок службы изделия. Система защиты IP68/B гарантирует надежную защиту от внешних воздействий и обеспечивает безопасность использования в различных условиях эксплуатации. Кроме того, насос имеет диаметр разъема соединения 1¼", что обеспечивает удобство установки и подключения.
Специально разработанный метод установки погружного типа делает процесс установки насоса максимально простым и удобным. Отличительной особенностью является также материал крыльчатки - норил, который обеспечивает эффективное перемещение воды и устойчивость к износу. Этот насос подходит для перекачивания чистой воды с температурой от 1 до 35°C, что расширяет его функциональные возможности. Насос работает от сети с напряжением 380 В и частотой тока 50 Гц. Длина кабеля составляет 1.5 метра, что обеспечивает достаточный запас для установки в удобном месте.
Набор MAXPUMP 4SDM 3/14 380В - это надежное и эффективное решение для обеспечения вашего дома или предприятия надежным и стабильным водоснабжением. Срок службы насоса составляет 5 лет, а гарантийный срок - 1 год, что подчеркивает высокое качество и надежность данного изделия.
Графические характеристики MAXPUMP 4SDM 3/14 380В
 
 Эффективное применение скважинного насоса MAXPUMP 4SDM 3/14 380В в различных сферах водоснабжения
Системы водоснабжения играют важную роль в обеспечении водой как индивидуальных жилых домов, так и промышленных хозяйств. Они также используются для орошения садов и других зеленых зон. В этом контексте скважинные насосы, такие как MAXPUMP 4SDM 3/14 380В, становятся ключевым элементом в обеспечении надежного и эффективного водоснабжения в различных сценариях.
Скважинные насосы MAXPUMP 4SDM 3/14 380В предоставляют надежное решение для водоснабжения. Эти устройства обладают высокой производительностью и способны обеспечить подачу воды из глубоких источников. Их использование позволяет обеспечивать водой как отдельные дома, так и крупные промышленные объекты, что делает их идеальным выбором для разнообразных потребностей в водоснабжении.
Одной из ключевых особенностей MAXPUMP 4SDM 3/14 380В является его эффективность и надежность в работе. Эти насосы обеспечивают стабильное давление и выдачу воды, что является критически важным для обеспечения непрерывного водоснабжения. Надежность работы в сочетании с высокой производительностью делает их идеальным решением для самых требовательных водоснабжающих систем.
Купить скважинный насос MAXPUMP 4SDM 3/14 380В в Мозыре в компании АкваБрег
Получите Скважинный Насос легко в АкваБрег: Удобные Варианты Доставки и Оплаты Выбор в вашу пользу в АкваБрег: :
Самовывоз: Загляните в наш магазин лично. Адрес и график работы указаны на сайте. Приходите в удобное для вас время.
Доставка: Мы обеспечиваем быструю доставку в соответствии с расписанием. Укажите адрес при заказе, и мы доставим ваш насос оперативно.
Удобная Оплата: Выбор метода оплаты остается на ваше усмотрение. Мы принимаем как безналичные, так и наличные средства.
АкваБрег – ваш надежный партнер в водоснабжении. Надежные решения с нами.
Доставка курьером в город Мозырь
Доставка осуществляется на следующий день после оформления заказа.В день доставки до 13:00 с Вами связывается оператор компании перевозчика и уточняет время доставки.
- Время работы с 10:30 до 23:00
Стоимость
Цена доставки товара зависит от его веса и габаритов. Доставки в город Мозырь осуществляться согласно графика. Стоимость и график поставки вы можете уточнить у оператора call-центра. Также стоимость доставки вы можете самостоятельно рассчитать в карточке товара. Мозырь
 
																									 
																																	 
																																	 
																																	 
																																	 
																																	 
																																	 
																																	 
																																	 
																																	 
																																	 
																																	 
																																	 
																																	 
																																	 
																									 
																																	 
																																	 
																																	 
																																	 
																																	 
																																	 
																									 
																																	 
																																	 
																																	 
																																	 
																																	 
																									 
																																	 
																																	 
																																	 
																																	 
																																	 
																																	 
																																	 
																																	 
																																	 
																																	 
																																	 
																																	 
																																	 
																																	 
																																	 
																																	 
																																	 
																																	 
																																	 
																																	 
																																	 
																																	 
																									 
																																	 
																																	 
																																	 
																																	 
																																	 
																																	 
																									 
																																	 
																																	 
																																	 
																																	 
																																	 
																																	 
																																	 
																																	 
																									 
																																	 
																																	 
																																	 
																																	 
																																	 
																																	 
																									 
																																	 
																																	 
																																	 
																																	 
																									 
																																	 
																																	 
																																	 
																																	 
																																	 
																																	 
																																	 
																																	 
																																	 
																																	 
																																	 
																																	 
																																	 
																																	 
																																	 
																									 
																																	 
																																	 
																																	 
                                                                     
                                                                     
                                                                     
                                                                     
                                                                     
                                                                     
                                                                     
                                                                     
                                                                     
                                                                     
                         
                         
                         
                         
                         
                         
                         
                         
                         
                         
                                                 
                                                                        